如何理解宇宙几何结构?《张朝阳的物理课》推导宇宙学度规II
在上一节课中,我们采用了一种不同于教科书的方式来说明宇宙学 FLRW 度规的必要性。具体来说,先假设宇宙是静态的,并借助史瓦西解的求解过程,推导出宇宙度规的基本形式,最后将度规推广至动态情形。而本节课考虑了物质后再推导宇宙度规的形式。
3月9日12时,《张朝阳的物理课》第二百三十九期开播,搜狐创始人、董事局主席兼CEO、物理学博士张朝阳坐镇搜狐视频直播间,在回顾总结上一节课内容后,概述了本节课的主题,并重新梳理了恒星内部解中涉及的能动张量、里奇张量和里奇标量,接着通过求解静态宇宙中的爱因斯坦场方程,推导出径向曲率函数的形式及流体的物态方程,最终得到了宇宙学度规,并进一步阐释了静态宇宙模型的不合理性。
(张朝阳讲解静态宇宙中的流体物态方程)
宇宙学度规求解概括
在广义相对论中研究宇宙,首先需要明确宇宙的度规形式。这通常依赖于宇宙学原理,即假设宇宙在大尺度上是均匀且各向同性的。基于这一假设,宇宙的度规可以写为

其中,a(t)是尺度因子,描述宇宙膨胀或收缩的行为,而b(r)是径向曲率函数,刻画空间的几何性质。按照广义相对论的基本框架,将此度规代入爱因斯坦场方程,可得到关于a(t)和b(r)的微分方程,求解后便可得到宇宙的几何结构。
展开全文
在静态条件下,我们可以通过以下坐标变换:
将度规变换为熟悉的形式

其中,A为常数,其导数为零。这正是求解史瓦西时空时所采用的度规形式,因此我们可以直接利用先前的史瓦西解推导过程,而无需重新计算里奇张量和里奇标量。通过爱因斯坦场方程,可以得到关于B的微分方程。
在爱因斯坦场方程的右侧,能动张量的形式与恒星内部解类似。我们曾在求解恒星内部结构时,假设物质满足理想流体模型,其中包含物质密度和压强。在恒星内部,球对称性极大地简化了问题,并最终导出了TOV方程。然而,在恒星内部模型中,函数A通常是径向坐标的函数,这使得直接求解A变得极其复杂,我们实际上并未直接求解过它。幸运的是,在宇宙学中,由于均匀性假设,A仅为一个常数,从而大大简化了问题。
在上一节课中,我们提到宇宙中的物质同样可以看作理想流体,因此我们可以直接借鉴求解恒星内部解的方法,用类似的方式求解B 。最终,通过坐标变换,我们可以回到原始坐标系,并得到静态条件下度规 (1) 中的径向曲率函数b(r) 。
恒星内部解中里奇张量回顾
在求解史瓦西度规和恒星内部解时,初始阶段的计算步骤是相同的:首先由度规计算里奇张量和里奇标量,区别仅在于物质的分布不同。史瓦西度规对应的是真空解,而恒星内部解描述的是球对称的理想流体。对于恒星内部解,我们通过爱因斯坦场方程

结合能量动量守恒条件

可以求解出 TOV 方程,并得到度规函数A(r)和B(r)所满足的微分方程。
我们先回顾恒星内部解的求解过程。首先,假设线元的形式为

其坐标表示为

对应的度规为

而其逆度规为

接下来,我们需要计算里奇张量的各个分量。但在此之前,我们先证明在上述度规 (3) 下,里奇张量的分量应具有对角形式,即:

理想流体的能动张量为

其中,四速度满足归一化条件

在恒星内部,流体处于静止状态,因此其空间分量为零,即

代入归一化条件(4),可得

于是,能动张量的表达式展开为

将能动张量代入场方程,可得里奇张量的 (2,0) 型分量

其中,里奇标量R为

这样我们就证明了里奇张量分量就是对角矩阵。

(张朝阳回顾讲解恒星内部解的求解过程)
根据恒星内部解(可参考《张朝阳的物理课》第 210 期和 211 期),里奇张量的(0,2)型分量具有对角矩阵形式,其非零分量为:

而里奇标量R为:

最终,里奇张量的 (2,0) 型分量为:

求解径向曲率函数b(r)
在求解宇宙学度规中的径向曲率函数b(r)时,我们希望避免重新计算繁琐的黎曼曲率张量、里奇张量和曲率标量,而是直接利用前面已推导出的结果。
为了借鉴恒星内部解的计算方法,我们需要假设宇宙学度规的尺度因子a(t)为常数。之所以需要这一假设,是因为恒星内部解描述的是静态时空,而宇宙学度规通常用于描述动态时空,二者在一般情况下无法直接联系。只有在a(t)不随时间变化的特殊情况下,宇宙学度规才会退化为静态形式,这样我们才能利用求解恒星内部解的方法求解径向曲率函数b(r)。
在尺度因子a(t)取常数的情况下,宇宙学度规的线元(1)可以写为:

为了便于与恒星内部解匹配,我们引入如下坐标变换:
其中A为常数,且其导数为零。将其微分形式写出

代入上述度规后,可得变换后的线元:

这正是求解恒星内部解时所采用的度规形式。因此,我们可以直接利用史瓦西解的已知结果来确定B,从而避免重新推导里奇张量和里奇标量。
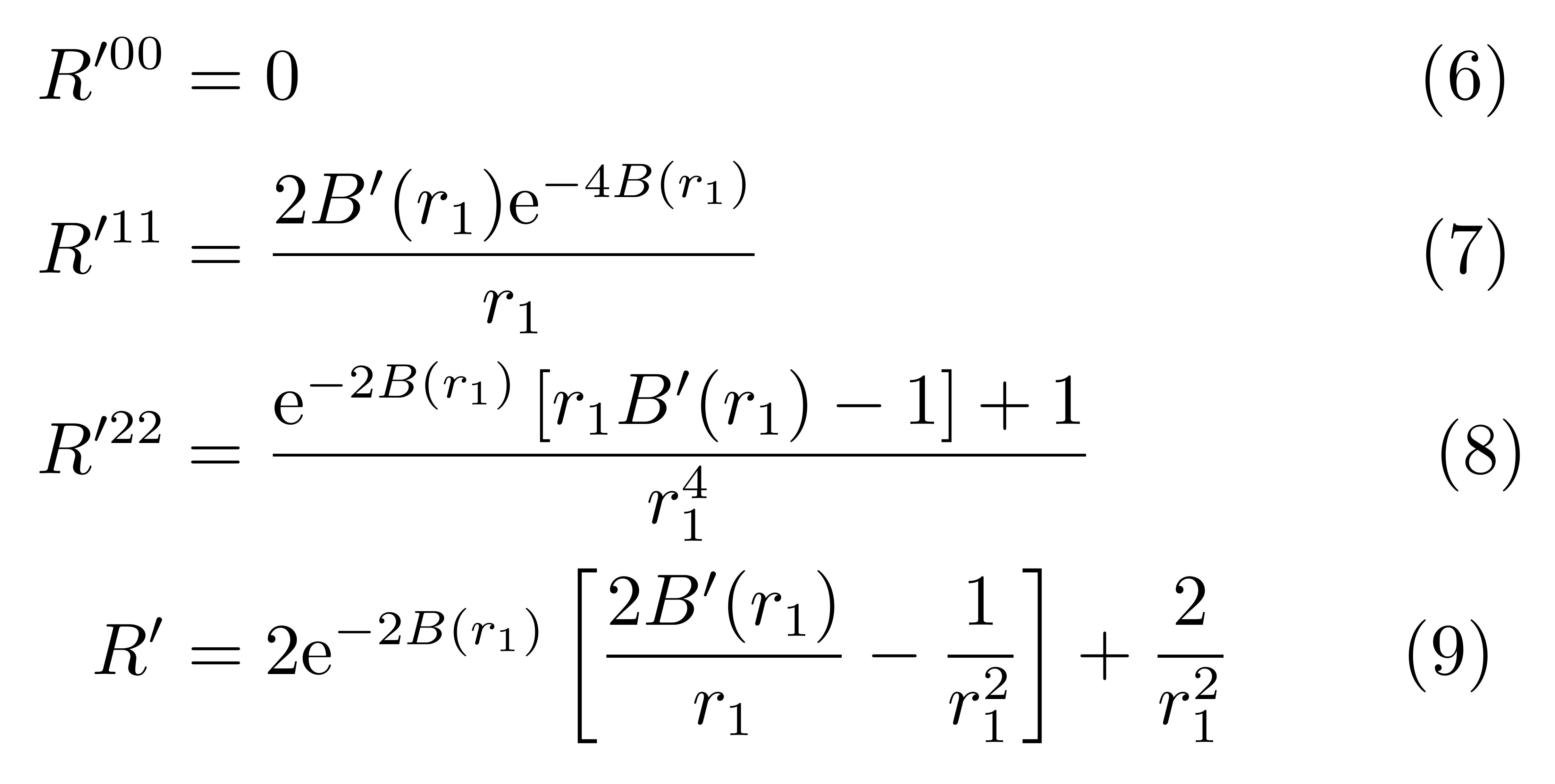
由于我们已经获得了里奇张量的分量,并假设A为常数(即其导数为零),恒星内部解所满足的方程将极大简化,里奇张量和曲率标量变为

其中


(张朝阳求解静态宇宙学度规)
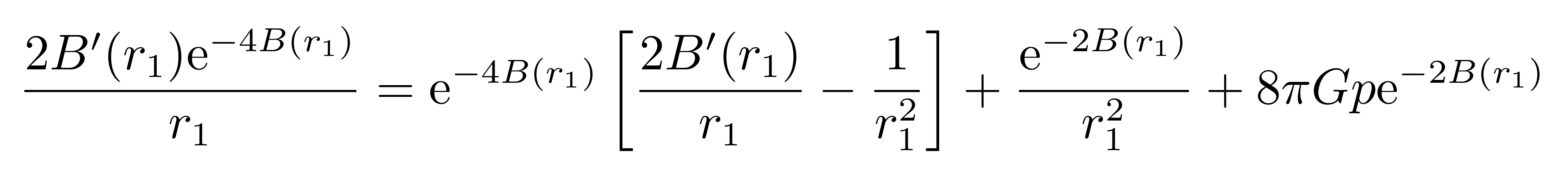
将这些结果代入到爱因斯坦场方程中

并从 11 分量出发,可得:

即有

同时,从 22 分量得到:

即

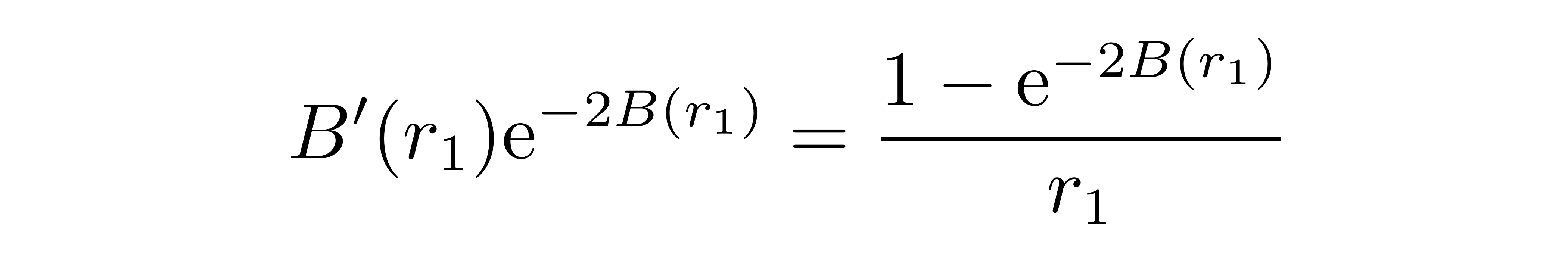
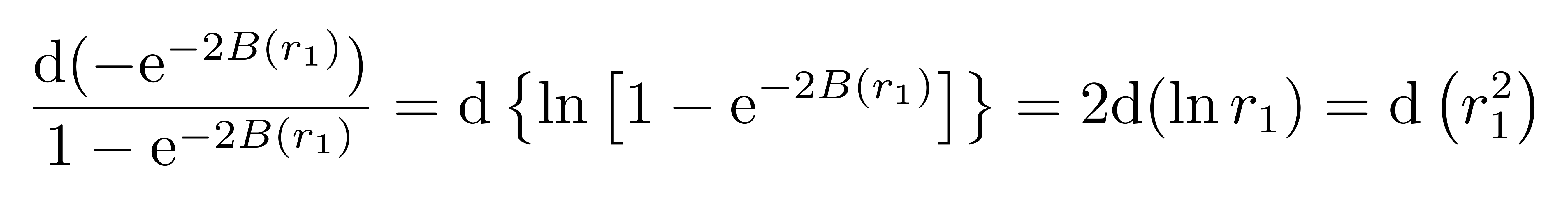
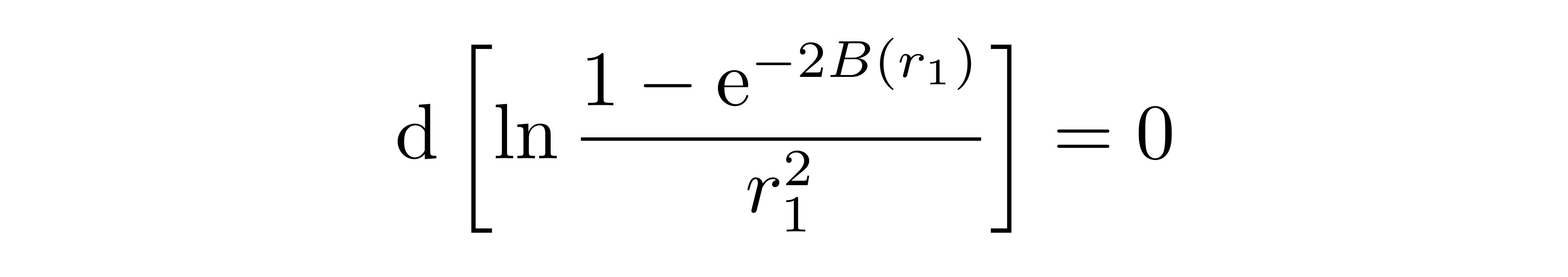
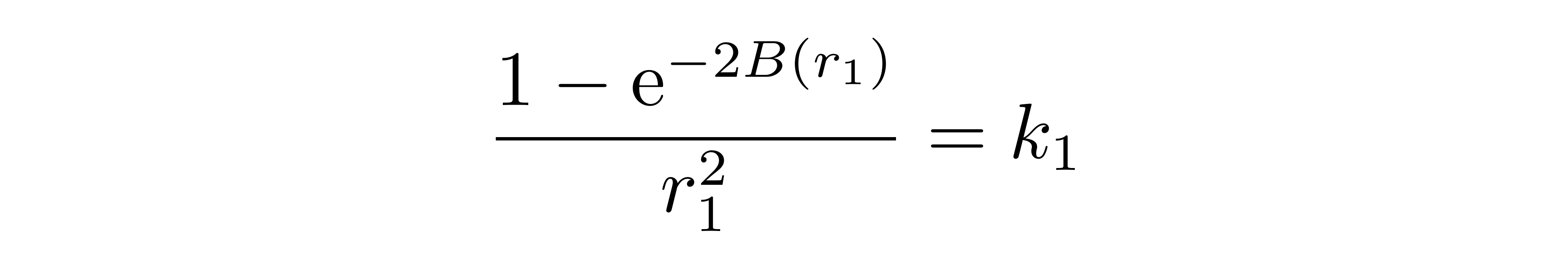
等式(11)减去等式(10),得到关于B的微分方程

化简得到全微分的形式

即

积分后得到

也就是

其中k1为积分常数。

(张朝阳求解径向曲率函数)
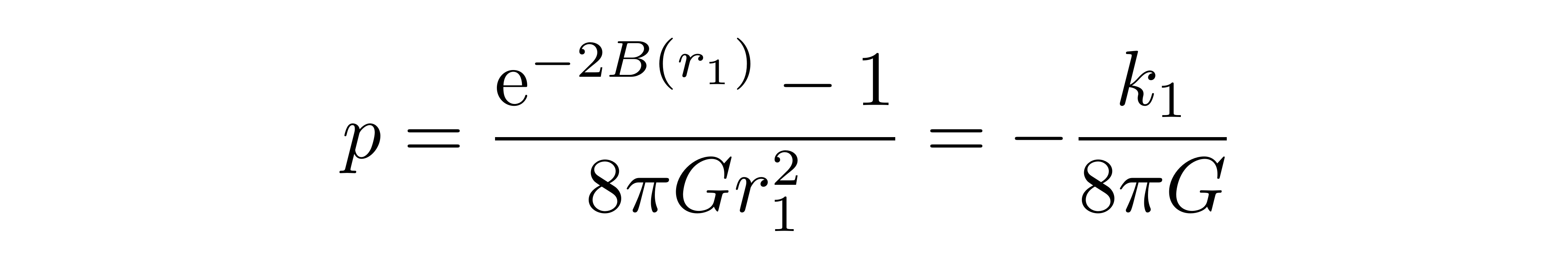
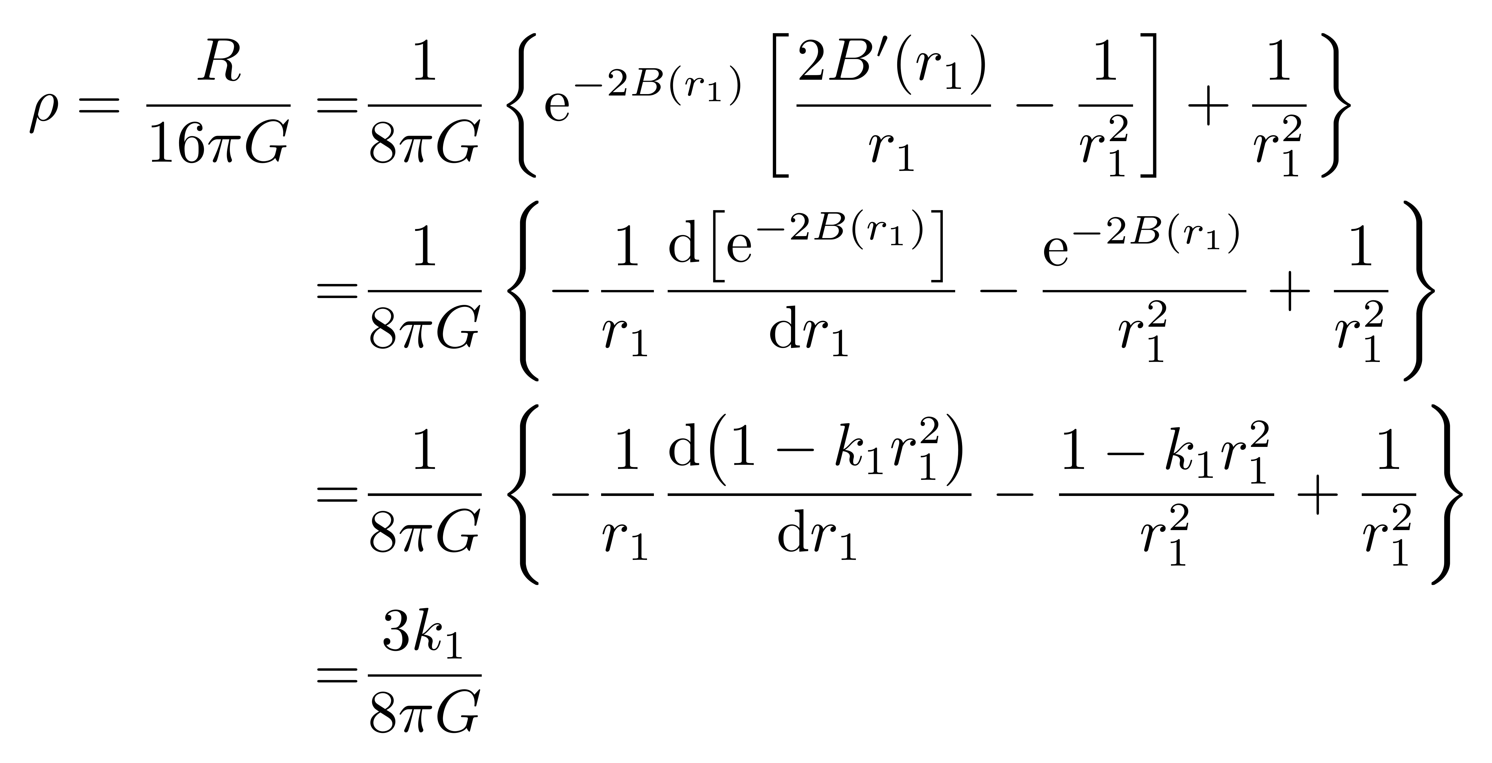
将结果(12)代回至(10)中,得到压强为

从爱因斯坦场方程的00分量可以得到密度的表达式为

由压强和密度的表达式,可得到物态方程

这样的物态方程与普通物质截然不同。当k1>0时,压强为负,表明静态宇宙无法稳定,一旦存在扰动,扰动将会被无限放大,时空将变得不稳定。而当k1<0时,能量密度为负,此时一般来说,对于物质是不稳定的,也可能导致时空不稳定。因此尺度因子不能简单地被假设为常数。
(张朝阳讲解物态方程)
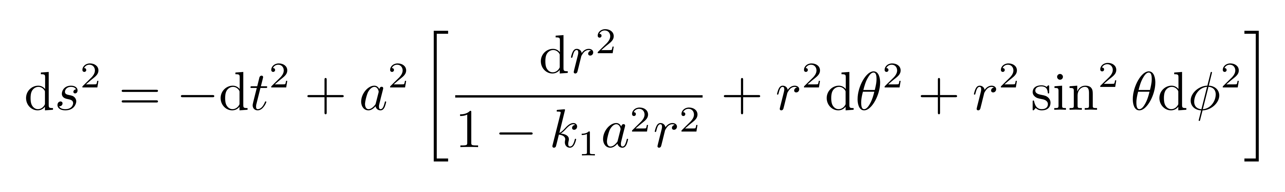
将结果(12)代回到线元(5)中,得到

再通过坐标变换,回到旧坐标后,有

令

得到

这正是宇宙学 FLRW 度规的静态极限。在本次推导中,我们进一步考虑了理想流体物质,使得结果更加一般化。
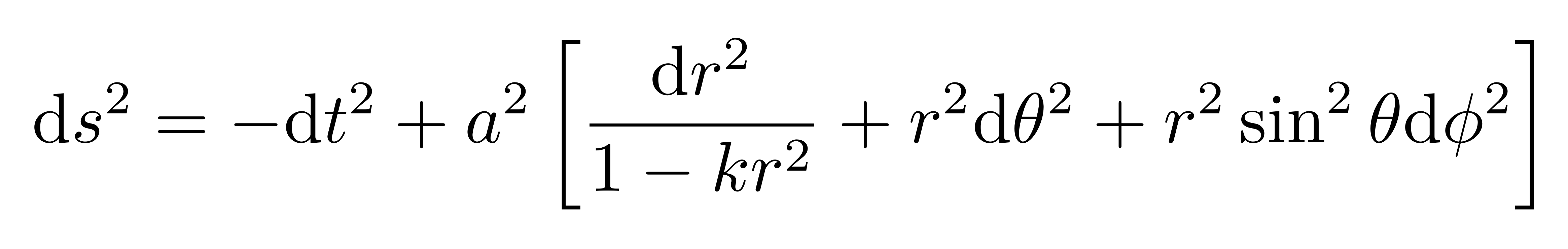
由于静态宇宙是不稳定的,我们必须允许尺度因子a(t)依赖于时间,即推广至含时的 FLRW 度规:

在此推广过程中,根据k的表达式,它原则上依赖于a(t),但从物理角度来看,宇宙在膨胀或收缩的过程中,其空间曲率不应随时间变化。因此,我们认为k是一个常数。这一结论在推广静态宇宙至动态 FLRW 形式时需要注意的。
据了解,《张朝阳的物理课》于每周周日中午12时在搜狐视频直播,网友可以在搜狐视频APP“关注流”中搜索“张朝阳”,观看直播及往期完整视频回放;关注“张朝阳的物理课”账号,查看课程中的“知识点”短视频;此外,还可以在搜狐新闻APP的“搜狐科技”账号上,阅览每期物理课程的详细文章。



评论